Pendulum Clock Made Up Of Invar . the riefler regulator clock developed in 1898 by clemens riefler, the first clock to use an invar pendulum, had an accuracy of 10. Use the formula for time period of the simple pendulum. a clock pendulum made of invar. almost since its invention in 1896, invar has been known to be a dimensionally unstable pendulum rod material. a clock pendulum made of invar has a period of 0.5sec at 20oc. instead of your clock being powered by a battery, you wound it up with a key and there was a long swinging rod inside, called a pendulum, that made sure the whirring gears kept good time. it can be said that the pendulum clock is made up of invar because invar's coefficient of thermal expansion is. If the clock is used in a climate where average.
from www.toppr.com
instead of your clock being powered by a battery, you wound it up with a key and there was a long swinging rod inside, called a pendulum, that made sure the whirring gears kept good time. the riefler regulator clock developed in 1898 by clemens riefler, the first clock to use an invar pendulum, had an accuracy of 10. almost since its invention in 1896, invar has been known to be a dimensionally unstable pendulum rod material. If the clock is used in a climate where average. a clock pendulum made of invar has a period of 0.5sec at 20oc. Use the formula for time period of the simple pendulum. it can be said that the pendulum clock is made up of invar because invar's coefficient of thermal expansion is. a clock pendulum made of invar.
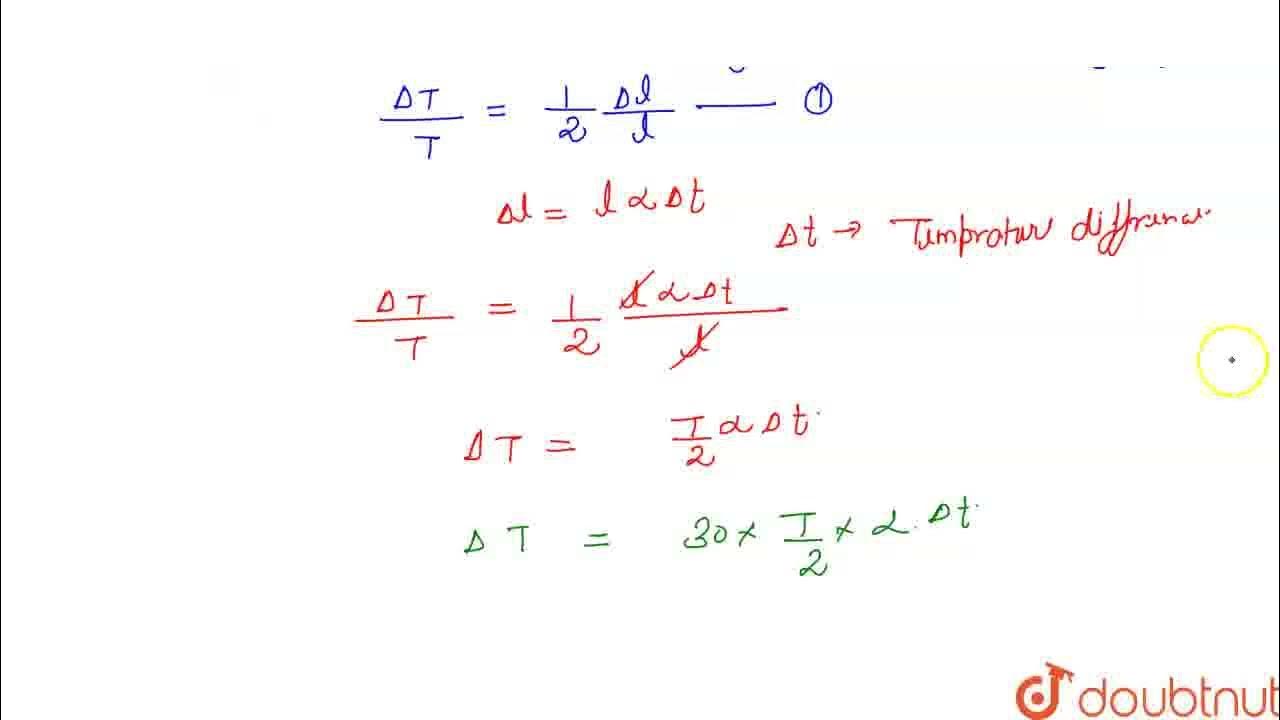
A clock pendulum made of invar has a period of 0.5 sec at 20 ^o C . If
Pendulum Clock Made Up Of Invar the riefler regulator clock developed in 1898 by clemens riefler, the first clock to use an invar pendulum, had an accuracy of 10. a clock pendulum made of invar has a period of 0.5sec at 20oc. it can be said that the pendulum clock is made up of invar because invar's coefficient of thermal expansion is. If the clock is used in a climate where average. the riefler regulator clock developed in 1898 by clemens riefler, the first clock to use an invar pendulum, had an accuracy of 10. Use the formula for time period of the simple pendulum. almost since its invention in 1896, invar has been known to be a dimensionally unstable pendulum rod material. instead of your clock being powered by a battery, you wound it up with a key and there was a long swinging rod inside, called a pendulum, that made sure the whirring gears kept good time. a clock pendulum made of invar.
From cityspecialmetals.com
Why Invar Alloys are Used When Making Clock Pendulums Pendulum Clock Made Up Of Invar If the clock is used in a climate where average. it can be said that the pendulum clock is made up of invar because invar's coefficient of thermal expansion is. the riefler regulator clock developed in 1898 by clemens riefler, the first clock to use an invar pendulum, had an accuracy of 10. a clock pendulum made. Pendulum Clock Made Up Of Invar.
From www.sciencefacts.net
Simple Pendulum Theory, Diagram, and Formula. Pendulum Clock Made Up Of Invar a clock pendulum made of invar. instead of your clock being powered by a battery, you wound it up with a key and there was a long swinging rod inside, called a pendulum, that made sure the whirring gears kept good time. it can be said that the pendulum clock is made up of invar because invar's. Pendulum Clock Made Up Of Invar.
From collectionaday.com
70 Different Types of Clocks Collection a day Pendulum Clock Made Up Of Invar it can be said that the pendulum clock is made up of invar because invar's coefficient of thermal expansion is. the riefler regulator clock developed in 1898 by clemens riefler, the first clock to use an invar pendulum, had an accuracy of 10. almost since its invention in 1896, invar has been known to be a dimensionally. Pendulum Clock Made Up Of Invar.
From www.toppr.com
A clock pendulum made of invar has a period of 0.5 sec at 20 ^o C . If Pendulum Clock Made Up Of Invar a clock pendulum made of invar. instead of your clock being powered by a battery, you wound it up with a key and there was a long swinging rod inside, called a pendulum, that made sure the whirring gears kept good time. almost since its invention in 1896, invar has been known to be a dimensionally unstable. Pendulum Clock Made Up Of Invar.
From www.pinterest.com
How to Make Wall Mounted Pendulum Clock Using Cardboard Pendulum Pendulum Clock Made Up Of Invar a clock pendulum made of invar. Use the formula for time period of the simple pendulum. the riefler regulator clock developed in 1898 by clemens riefler, the first clock to use an invar pendulum, had an accuracy of 10. it can be said that the pendulum clock is made up of invar because invar's coefficient of thermal. Pendulum Clock Made Up Of Invar.
From www.doubtnut.com
[Punjabi] Why is invar used in making a clock pendulum Pendulum Clock Made Up Of Invar a clock pendulum made of invar. instead of your clock being powered by a battery, you wound it up with a key and there was a long swinging rod inside, called a pendulum, that made sure the whirring gears kept good time. almost since its invention in 1896, invar has been known to be a dimensionally unstable. Pendulum Clock Made Up Of Invar.
From www.watchprosite.com
WatchTech A David Walter Double Pendulum Clock Part 4, Invar Pendulum Clock Made Up Of Invar the riefler regulator clock developed in 1898 by clemens riefler, the first clock to use an invar pendulum, had an accuracy of 10. a clock pendulum made of invar. a clock pendulum made of invar has a period of 0.5sec at 20oc. If the clock is used in a climate where average. almost since its invention. Pendulum Clock Made Up Of Invar.
From techdiagrammer.com
The Complete Guide to Understanding Pendulum Grandfather Clock Parts A Pendulum Clock Made Up Of Invar the riefler regulator clock developed in 1898 by clemens riefler, the first clock to use an invar pendulum, had an accuracy of 10. almost since its invention in 1896, invar has been known to be a dimensionally unstable pendulum rod material. it can be said that the pendulum clock is made up of invar because invar's coefficient. Pendulum Clock Made Up Of Invar.
From www.pinterest.co.uk
ALLEGRO Pendulum clock, Clock design, Clock Pendulum Clock Made Up Of Invar Use the formula for time period of the simple pendulum. instead of your clock being powered by a battery, you wound it up with a key and there was a long swinging rod inside, called a pendulum, that made sure the whirring gears kept good time. a clock pendulum made of invar has a period of 0.5sec at. Pendulum Clock Made Up Of Invar.
From ar.inspiredpencil.com
Pendulum Grandfather Clock Pendulum Clock Made Up Of Invar the riefler regulator clock developed in 1898 by clemens riefler, the first clock to use an invar pendulum, had an accuracy of 10. almost since its invention in 1896, invar has been known to be a dimensionally unstable pendulum rod material. If the clock is used in a climate where average. a clock pendulum made of invar. Pendulum Clock Made Up Of Invar.
From www.toppr.com
A clock pendulum made of invar has a period of 0.5 sec at 20 ^o C . If Pendulum Clock Made Up Of Invar a clock pendulum made of invar. Use the formula for time period of the simple pendulum. it can be said that the pendulum clock is made up of invar because invar's coefficient of thermal expansion is. instead of your clock being powered by a battery, you wound it up with a key and there was a long. Pendulum Clock Made Up Of Invar.
From www.watchprosite.com
WatchTech A David Walter Double Pendulum Clock Part 4, Invar Pendulum Clock Made Up Of Invar it can be said that the pendulum clock is made up of invar because invar's coefficient of thermal expansion is. instead of your clock being powered by a battery, you wound it up with a key and there was a long swinging rod inside, called a pendulum, that made sure the whirring gears kept good time. a. Pendulum Clock Made Up Of Invar.
From www.ronellclock.com
Solid Brass French Clock Pendulum and Rod Choose from 3 Bob Sizes Pendulum Clock Made Up Of Invar a clock pendulum made of invar has a period of 0.5sec at 20oc. the riefler regulator clock developed in 1898 by clemens riefler, the first clock to use an invar pendulum, had an accuracy of 10. a clock pendulum made of invar. almost since its invention in 1896, invar has been known to be a dimensionally. Pendulum Clock Made Up Of Invar.
From www.explainthatstuff.com
How do pendulum clocks work? Explain that Stuff Pendulum Clock Made Up Of Invar a clock pendulum made of invar. the riefler regulator clock developed in 1898 by clemens riefler, the first clock to use an invar pendulum, had an accuracy of 10. a clock pendulum made of invar has a period of 0.5sec at 20oc. it can be said that the pendulum clock is made up of invar because. Pendulum Clock Made Up Of Invar.
From www.youtube.com
A clock pendulum made of invar has a period of 0.5 s at 20^()C. If the Pendulum Clock Made Up Of Invar it can be said that the pendulum clock is made up of invar because invar's coefficient of thermal expansion is. almost since its invention in 1896, invar has been known to be a dimensionally unstable pendulum rod material. instead of your clock being powered by a battery, you wound it up with a key and there was. Pendulum Clock Made Up Of Invar.
From askfilo.com
Q.2 A pendulum clock with a pendulum made of invar (a=0.7×10−6∘C−1) has a.. Pendulum Clock Made Up Of Invar If the clock is used in a climate where average. instead of your clock being powered by a battery, you wound it up with a key and there was a long swinging rod inside, called a pendulum, that made sure the whirring gears kept good time. almost since its invention in 1896, invar has been known to be. Pendulum Clock Made Up Of Invar.
From dxogyxxor.blob.core.windows.net
Convert Pendulum Clock To Battery at Taylor blog Pendulum Clock Made Up Of Invar the riefler regulator clock developed in 1898 by clemens riefler, the first clock to use an invar pendulum, had an accuracy of 10. a clock pendulum made of invar. almost since its invention in 1896, invar has been known to be a dimensionally unstable pendulum rod material. If the clock is used in a climate where average.. Pendulum Clock Made Up Of Invar.
From www.toppr.com
A clock pendulum made of invar has a period of 0.5 sec at 20 ^o C . If Pendulum Clock Made Up Of Invar If the clock is used in a climate where average. the riefler regulator clock developed in 1898 by clemens riefler, the first clock to use an invar pendulum, had an accuracy of 10. it can be said that the pendulum clock is made up of invar because invar's coefficient of thermal expansion is. Use the formula for time. Pendulum Clock Made Up Of Invar.